DUAL PORT DB09/DB09, DB15/DB15, DB25/DB25, DB37/DB37 CONNECTOR RIGHT ANGLE TYPE - (FOOTPRINT = 8.08MM):
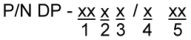
ORDERING INFORMATION:
SPECIFICATIONS
Current Rating: 3.0 Amperes
Contact Resistance: 25mΩ Max.
Insulation Resistance: 1000MΩMin. at 500V
Dielectric Voltage: 1000V at 1 Minute
Operating Temperature: -55°c to +105°c
MATERIALS
Insulator: PBT, UL94V-0 Rated
Contact: Brass
Shell: Brass, Steel
Contact Plating: Gold Over Nickel Plated
Shell Plating: Tin Over Copper Plated *RoHS& REACH compliant.
1.NO. OF CONTACTS:
09, 15, 25, 37
2. TOP CONNECTOR TYPE:
“F” FEMALE
“M” MALE
3. BOTTOM CONNECTOR TYPE:
“F” FEMALE
“M” MALE
4. SPACING BETWEEN PORTS:
“A” X/Y= 19.05/31.60MM
“B” X/Y= 22.86/35.41MM
“C” X/Y= 15.88/28.42MM
5. FLANGE MOUNTING OPTION:
“N”#4-40UNC THREADED HOLES
WITHOUT HEX SCREW BOLTS
“NH” #4-40UNC THREADED HOLES
WITH BULK-PACKED (LOOSE)
#4-40UNC HEX SCREW BOLTS
“NJ” #4-40UNC THREADED HOLES
WITH INSTALLED (ASSEMBLED)
#4-40UNC HEX SCREW BOLTS
